Pasos para la resolución de problemas
1 Se plantea la función que hay que maximizar o minimizar.
2 Se plantea una ecuación que relacione las distintas variables del problema, en el caso de que haya más de una variable.
3 Se despeja una variable de la ecuación y se sustituye en la función de modo que nos quede una sola variable.
4 Se deriva la función y se iguala a cero, para hallar los extremos locales.
5 Se realiza la 2ª derivada para comprobar el resultado obtenido.
Ejemplo de función optimizada
De todos los triángulos isósceles de 12 m de perímetro, hallar los lados del que tome área máxima.
1 El área del triángulo isósceles es la función a maximizar

2 Planteamos la función que tenemos que maximizar

3 Dejamos una sola variable, para esto despejamos la ecuación del perímetro y la sustituimos en la del área


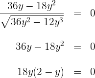
4 Derivamos, igualamos a cero y calculamos las raíces.


Los extremos locales son

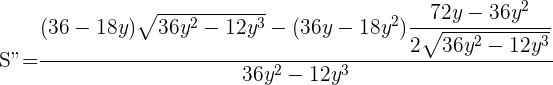
5 Realizamos la 2ª derivada para comprobar el resultado obtenido. Sustituimos por 2, ya que la solución 0 la descartamos porque no hay un triángulo cuyo lado sea cero


Por lo que queda probado que en
hay un máximo.
La base> mide 4 m y los lados oblicuos también miden 4 m, por lo que el triángulo de área máxima sería un triángulo equilátero.
Resumir con IA:









Apuntes es una plataforma dirigida al estudio y la práctica de las matemáticas a través de la teoría y ejercicios interactivos que ponemos a vuestra disposición. Esta información está disponible para todo aquel/aquella que quiera profundizar en el aprendizaje de esta ciencia. Será un placer ayudaros en caso de que tengáis dudas frente algún problema, sin embargo, no realizamos un ejercicio que nos presentéis de 0 sin que hayáis si quiera intentado resolverlo. Ánimo, todo esfuerzo tiene su recompensa.
Felicitaciones, muy interesantes los problemas y sobretodo las gráficas. ¿Pueden indicarme que programa utilizan?
Hola te agradecemos tu comentario, si te refieres a graficar te recomendamos geogebra, symbolat y otros mas.
Cual es un buen graficador de funciones con cuadricula en el fondo y ejes coordenados para graficar funciones.He visto uno elaborado por Mariluna Saldivar Pat titulado «¿Que es una funcion lineal? pero no se con que programa hizo el dibujo
Hola en internet esta geogebra y simbolab que son los que yo uso, creo que si preguntas en el buscador te recomiendan otros muy buenos, los que mencione antes trabajo muy bien con ellos y los recomiendo.
Me ayudarian hacer la funcion lineal con grafico
Y=2×+1
La primera derivada se anula en x = 3. Por lo tanto 3 es otro punto crítico de la función del ejemplo.
Hola gracias por la observación, podrías hacernos el favor de mostrarnos la función que se deriva y se encuentran los puntos críticos.
Hola con gusto lo haremos, pero podrías señalar en que ejercicio quieres que lo hagamos, para poder ayudarte.