Puntos de cortes con los ejes
Un punto de corte de una función con alguno de los ejes, es un punto donde la función
intersecta al eje. Para hallar estos puntos de corte debemos igualar la función a cero si
queremos hallar el corte con el eje
o debemos igualar
para hallar el corte con el
eje
.
Cálculo de los puntos de corte
Encontrar los puntos de corte de las siguientes funciones con los ejes
y 

puntos de corte con el eje
:En este caso debemos igualar la función
a cero y depejar el valor de 


Con estos valores de
tenemos que los puntos de corte son

puntos de corte con el eje
:
En este caso debemos igualar
a cero y ver cual es el valor de la función

Con este valor de la función tenemos que el punto de corte es


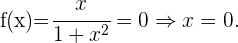
puntos de corte con el eje
:En este caso debemos igualar la función
a cero y depejar el valor de 


Con estos valores de
tenemos que los puntos de corte son

puntos de corte con el eje
:
En este caso debemos igualar
a cero y ver cual es el valor de la función

Con este valor de la función tenemos que el punto de corte es


puntos de corte con el eje
:En este caso debemos igualar la función
a cero y depejar el valor de 


Con este valor de
tenemos que el punto de corte es

puntos de corte con el eje
:
En este caso debemos igualar
a cero y ver cual es el valor de la función

Con este valor de la función tenemos que el punto de corte es


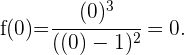
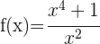
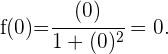
puntos de corte con el eje
:En este caso debemos igualar la función
a cero y depejar el valor de 


Dado que tenemos una raíz par negativa entonces concluimos que no hay puntos de corte.
puntos de corte con el eje
:
En este caso debemos igualar
a cero y ver cual es el valor de la función

Dado que el denominador es igual a cero entonces no tenemos un valor para la
función y podemos concluir que no hay puntos de corte.

puntos de corte con el eje
:En este caso debemos igualar la función
a cero y depejar el valor de 


Con este valor de
tenemos que el punto de corte es

puntos de corte con el eje
:
En este caso debemos igualar
a cero y ver cual es el valor de la función

Con este valor de la función tenemos que el punto de corte es


puntos de corte con el eje
:En este caso debemos igualar la función
a cero y depejar el valor de 

Con este valor de
tenemos que el punto de corte es

puntos de corte con el eje
:
En este caso debemos igualar
a cero y ver cual es el valor de la función

Con este valor de la función tenemos que el punto de corte es


puntos de corte con el eje
:En este caso debemos igualar la función
a cero y depejar el valor de 


Con estos valores de
tenemos que los puntos de corte son

puntos de corte con el eje
:
En este caso debemos igualar
a cero y ver cual es el valor de la función

Con este valor de la función tenemos que el punto de corte es


puntos de corte con el eje
:En este caso debemos igualar la función
a cero y depejar el valor de 

Con este valor de
tenemos que el punto de corte es

puntos de corte con el eje
:
En este caso debemos igualar
a cero y ver cual es el valor de la función

Con este valor de la función tenemos que el punto de corte es


puntos de corte con el eje
:En este caso debemos igualar la función
a cero y depejar el valor de 

Con este valor de
tenemos que el punto de corte es

puntos de corte con el eje
:
En este caso debemos igualar
a cero y ver cual es el valor de la función

Con este valor de la función tenemos que el punto de corte es


puntos de corte con el eje
:En este caso debemos igualar la función
a cero y depejar el valor de 

Dado que la función exponencial no se anula entonces podemos decir que no hay punto de corte.
puntos de corte con el eje
:
En este caso debemos igualar
a cero y ver cual es el valor de la función

Con este valor de la función tenemos que el punto de corte es


puntos de corte con el eje
:En este caso debemos igualar la función
a cero y depejar el valor de 

Con este valor de
tenemos que el punto de corte es

puntos de corte con el eje
:
En este caso debemos igualar
a cero y ver cual es el valor de la función

Dado que el denominador es igual a cero y el logaritmo de cero no existe podemos
concluir que no hay punto de corte.
Resumir con IA:









Apuntes es una plataforma dirigida al estudio y la práctica de las matemáticas a través de la teoría y ejercicios interactivos que ponemos a vuestra disposición. Esta información está disponible para todo aquel/aquella que quiera profundizar en el aprendizaje de esta ciencia. Será un placer ayudaros en caso de que tengáis dudas frente algún problema, sin embargo, no realizamos un ejercicio que nos presentéis de 0 sin que hayáis si quiera intentado resolverlo. Ánimo, todo esfuerzo tiene su recompensa.
Felicitaciones, muy interesantes los problemas y sobretodo las gráficas. ¿Pueden indicarme que programa utilizan?
Hola te agradecemos tu comentario, si te refieres a graficar te recomendamos geogebra, symbolat y otros mas.
Cual es un buen graficador de funciones con cuadricula en el fondo y ejes coordenados para graficar funciones.He visto uno elaborado por Mariluna Saldivar Pat titulado «¿Que es una funcion lineal? pero no se con que programa hizo el dibujo
Hola en internet esta geogebra y simbolab que son los que yo uso, creo que si preguntas en el buscador te recomiendan otros muy buenos, los que mencione antes trabajo muy bien con ellos y los recomiendo.
Me ayudarian hacer la funcion lineal con grafico
Y=2×+1
Hola agradecemos tu observación, podrías mencionar que ejercicio es el que tiene el error para poder rectificarlo nos seria de mucha ayuda.
hola soy profesor de scundaria y es =-13
Hola con gusto lo haremos, pero podrías señalar en que ejercicio quieres que lo hagamos, para poder ayudarte.