En este apartado estudiaremos una clase particular de discontinuidad. Dicha clase de discontinuidad la llamamos discontinuidad de primer especie y se define de la siguiente manera:
Dada una función  decimos que tiene una discontinuidad inevitable o de primera especie si existen los límites laterales en un punto
 decimos que tiene una discontinuidad inevitable o de primera especie si existen los límites laterales en un punto   pero estos limites son distintos, es decir,
 pero estos limites son distintos, es decir,
 
 Salto
Definimos el salto de una función   en un punto
  en un punto   como la diferencia en valor absoluto de los límites laterales, esto es,
  como la diferencia en valor absoluto de los límites laterales, esto es,
 
 Notemos que este valor puede ser finito o infinito. Así según el tipo de salto nos encontramos con dos tipos de discontinuidad inevitable:
Discontinuidad inevitable de salto finito
Se refiera a que la diferencia entre los límites laterales es un número real.
 
 Ejemplo
Consideremos la siguiente función en el punto  ,
,

 Notemos que el valor de  en
 en  , es
, es  . Podemos calcular los limites laterales, solo observando que valor toma la función en cada parte su dominio
. Podemos calcular los limites laterales, solo observando que valor toma la función en cada parte su dominio

 
 Dados estos valores podemos calcular el salto de la función en  ,
,
Salto = 
De esta forma concluimos que: en  hay una discontinuidad inevitable de salto finito 3.
 hay una discontinuidad inevitable de salto finito 3.

Discontinuidad inevitable de salto infinito
Se refiere a que la diferencia entre los límites laterales es infinita.
 
 Ejemplo
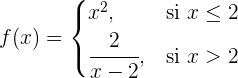
Consideremos la siguiente función en el punto  ,
,

 Notemos que el valor de  en
 en  , es
, es  . Podemos calcular los limites laterales, solo observando que valor toma la función en cada parte su dominio
. Podemos calcular los limites laterales, solo observando que valor toma la función en cada parte su dominio

 
 El limite lateral por la derecha es infinito por tanto el salto de la función en  también es infinito ,
 también es infinito ,
Salto = 
De esta forma concluimos que: en  hay una discontinuidad inevitable de salto infinito.
 hay una discontinuidad inevitable de salto infinito.









 Cargando...
Cargando...
Apuntes es una plataforma dirigida al estudio y la práctica de las matemáticas a través de la teoría y ejercicios interactivos que ponemos a vuestra disposición. Esta información está disponible para todo aquel/aquella que quiera profundizar en el aprendizaje de esta ciencia. Será un placer ayudaros en caso de que tengáis dudas frente algún problema, sin embargo, no realizamos un ejercicio que nos presentéis de 0 sin que hayáis si quiera intentado resolverlo. Ánimo, todo esfuerzo tiene su recompensa.
Me ayudarian hacer la funcion lineal con grafico
Y=2×+1
La primera derivada se anula en x = 3. Por lo tanto 3 es otro punto crítico de la función del ejemplo.
Hola gracias por la observación, podrías hacernos el favor de mostrarnos la función que se deriva y se encuentran los puntos críticos.
El Punto de inflexión en el ejercicio 2: f(x) = x^3 + x + 1 debe ser (0, 1)
Hola agradecemos tu comentario, tenias razón era un error que ya se corrigió.
la grafica esta mal echa de signos de cada cuadrante
Hola te agradecemos por visitar nuestra pagina, podrías mencionar el número de ejercicio para poder rectificar esos errores que mencionas.
Se podría añadir un poco más de explicación a por que se hace cada paso ( ejemplo porque se divide todo por x ^2?)
Hola agradecemos que puedas darnos tu opinión, cuando surja una duda en este espacio de los comentarios estaremos atentos para darte una explicación con respecto a algo que no entiendas, exista un error o se pueda mejorar una explicación, solo comunícalo y te contestaremos.