En este artículo, exploraremos una serie de ejercicios resueltos que demuestran cómo trabajar con funciones lineales. Abordaremos diferentes aspectos, como la identificación de la pendiente e intersección, la representación gráfica y la resolución de problemas prácticos.
Representa las funciones indicadas y resuelve los siguientes problemas
y = 2
Representa la función constante:
y = 2
Esta función hace referencia a todos los puntos de coordenadas (x,y) donde y=2, es decir, todos los puntos (x,2), donde x es una variable independiente a la que se le puede asignar cualquier valor, por ejemplo (1,2)(-4,2)(5,2), etc.

y = –2
Representa la función constante:
y = −2
Esta función hace referencia a todos los puntos de coordenadas (x,y) donde y=-2, es decir, todos los puntos (x,-2), donde x es una variable independiente a la que se le puede asignar cualquier valor, por ejemplo (1,-2)(-4,-2)(5,-2), etc.


Representa la función constante:
Esta función hace referencia a todos los puntos de coordenadas (x,y) donde
es decir, todos los puntos
), donde x es una variable independiente a la que se le puede asignar cualquier valor, por ejemplo:


y = 0
Representa la función constante:
y = 0
Esta función hace referencia a todos los puntos de coordenadas (x,y) donde y=0, es decir, todos los puntos (x,0), donde x es una variable independiente a la que se le puede asignar cualquier valor, por ejemplo (1,0)(-4,0)(5,0), etc.

x = 0
Representa la recta vertical
x = 0
Esta no es una función y hace referencia a todos los puntos de coordenadas (x,y) donde x=0, es decir, todos los puntos (0,y), donde y es una variable independiente a la que se le puede asignar cualquier valor, por ejemplo (0,1)(0,-3)(0,5), etc.

x = −5
Representa la recta vertical
x = −5
Esta función hace referencia a todos los puntos de coordenadas (x,y) donde x=-5, es decir, todos los puntos (-5,y), donde y es una variable independiente a la que se le puede asignar cualquier valor, por ejemplo (-5,1)(-5,-3)(-5,5), etc.

y = x
Representa la función:
y=x
Esta función hace referencia a todos los puntos de coordenadas (x,y) donde y=x, es decir, todos los puntos (x,y), donde y=x es una variable independiente a la que se le puede asignar cualquier valor, por ejemplo (1,1)(-3,-3)(5,5), etc.
Para poder graficar de una forma eficiente, elaboramos una tabla donde a la izquierda colocaremos los valores de x (cualquiera que nosotros queramos) y del lado derecho el valor que toma y, después de evaluar el valor asignado a x en nuestra función.


y = 2x
Representa la función lineal:
y = 2x
Para poder graficar de una forma eficiente, elaboramos una tabla donde a la izquierda colocaremos los valores de x (cualquiera que nosotros queramos) y del lado derecho el valor que toma y, después de evaluar el valor asignado a x en nuestra función..


y = 2x − 1
Representa la función afín:
y = 2x − 1
Para poder graficar de una forma eficiente, elaboramos una tabla donde a la izquierda colocaremos los valores de x (cualquiera que nosotros queramos) y del lado derecho el valor que toma y, después de evaluar el valor asignado a x en nuestra función.


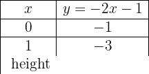
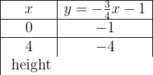
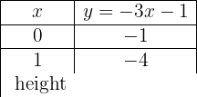
y = −2x − 1
Representa la función afín:
y = −2x − 1
Para poder graficar de una forma eficiente, elaboramos una tabla donde a la izquierda colocaremos los valores de x (cualquiera que nosotros queramos) y del lado derecho el valor que toma y, después de evaluar el valor asignado a x en nuestra función.


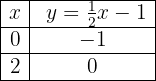
Representa la función afín:
Representa la función afín:

Para poder graficar de una forma eficiente, elaboramos una tabla donde a la izquierda colocaremos los valores de x (cualquiera que nosotros queramos) y del lado derecho el valor que toma y, después de evaluar el valor asignado a x en nuestra función.



Representa la función afín:

Para poder graficar de una forma eficiente, elaboramos una tabla donde a la izquierda colocaremos los valores de x (cualquiera que nosotros queramos) y del lado derecho el valor que toma y, después de evaluar el valor asignado a x en nuestra función.


Representa la siguiente función, sabiendo que tiene pendiente −3 y ordenada en el origen −1
y = -3x -1


Representa la siguiente función, sabiendo que tiene por pendiente 4 y pasa por el punto (−3, 2)
La función es: y = mx + n
m = 4, sustituimos el valor de m: y = 4x + n
Un punto es (−3, 2), sustituimos el valor del punto: 2 = 4 · (−3) + n n = 14
y = 4 x + 14


Representa la siguiente función, sabiendo que pasa por los puntos A(−1, 5) y B(3, 7)
La función es: y = mx + n
Pasa por (−1, 5): 5 = −m + n
Pasa por (3, 7) : 7 = 3m + n
Resolvemos el sistema por reducción
−5 = m − n
7 = 3m + n
2 = 4m
m = ½ n = 11/2
La función es : 


Representa la siguiente función, sabiendo que pasa por el punto P(2, −3) y es paralela a la recta de ecuación y = −x + 7
La función es: y = mx + n
Dos rectas paralelas tienen la misma penciente, m = –1
Pasa por (2, −3):−3 = −1 · 2 + n n = − 1
La función es : y = −x − 1


En las 10 primeras semanas de cultivo de una planta, que medía 2 cm, se ha observado que su crecimiento es directamente proporcional al tiempo, viendo que en la primera semana ha pasado a medir 2.5 cm. Establecer una función afín que dé la altura de la planta en función del tiempo y representar gráficamente
Altura inicial = 2cm
Crecimiento semanal = 2.5 − 2 = 0.5
y = 0.5 x + 2

Por el alquiler de un coche cobran 100 € diarios más 0.30 € por kilómetro. Encuentra la ecuación de la recta que relaciona el coste diario con el número de kilómetros y elabora la gráfica. Si en un día se ha hecho un total de 300 km, ¿Qué importe debemos abonar?
y = 0.3 x + 100
y = 0.3 · 300 + 100 = 190 €

Calcular los coeficientes de la función: f(x) = ax + b si f(0) = 3 y f(1) = 4
f(0) = 3
3 = a · 0 + b b = 3
f(1) = 4
4 = a · 1 + b a = 1
f(x) = x + 3
Calcular los coeficientes de la función:
, si
y 





Resumir con IA:

Apuntes es una plataforma dirigida al estudio y la práctica de las matemáticas a través de la teoría y ejercicios interactivos que ponemos a vuestra disposición. Esta información está disponible para todo aquel/aquella que quiera profundizar en el aprendizaje de esta ciencia. Será un placer ayudaros en caso de que tengáis dudas frente algún problema, sin embargo, no realizamos un ejercicio que nos presentéis de 0 sin que hayáis si quiera intentado resolverlo. Ánimo, todo esfuerzo tiene su recompensa.
Felicitaciones, muy interesantes los problemas y sobretodo las gráficas. ¿Pueden indicarme que programa utilizan?
Hola te agradecemos tu comentario, si te refieres a graficar te recomendamos geogebra, symbolat y otros mas.
Cual es un buen graficador de funciones con cuadricula en el fondo y ejes coordenados para graficar funciones.He visto uno elaborado por Mariluna Saldivar Pat titulado «¿Que es una funcion lineal? pero no se con que programa hizo el dibujo
Hola en internet esta geogebra y simbolab que son los que yo uso, creo que si preguntas en el buscador te recomiendan otros muy buenos, los que mencione antes trabajo muy bien con ellos y los recomiendo.
Me ayudarian hacer la funcion lineal con grafico
Y=2×+1
Hola agradecemos tu observación, podrías mencionar que ejercicio es el que tiene el error para poder rectificarlo nos seria de mucha ayuda.
hola soy profesor de scundaria y es =-13
Hola con gusto lo haremos, pero podrías señalar en que ejercicio quieres que lo hagamos, para poder ayudarte.