¿Buscas clases particulares matematicas en Valencia?
La cotización de las sesiones de una determinada sociedad, suponiendo que la Bolsa funciona todos los días de un mes de
días, responde a la siguiente ley:

1 Determinar las cotizaciones máxima y mínima, así como los días en que ocurrieron, en días distintos del primero y del último.
2 Determinar los períodos de tiempo en el que las acciones subieron o bajaron.
1 Determinar las cotizaciones máxima y mínima, así como los días en que ocurrieron, en días distintos del primero y del último.
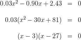
Derivamos

Igulamos la derivada a cero y hallamos las raíces de la ecuación

Las raíces son
y 
Calculamos la segunda derivada

Calculamos el signo que toman la raíces de la derivada primera

2 Determinar los períodos de tiempo en el que las acciones subieron o bajaron.
Formamos intervalos con los ceros de la derivada primera

Tomamos un valor de cada intervalo, y hallamos el signo que tiene en la derivada primera:
Si el resultado es positivo, la función es creciente en ese intervalo.
Si el resultado es negativo, la función es decreciente en ese intervalo.

Del
al
, y del
al
las acciones subieron, y del
al
bajaron.
Supongamos que el rendimiento
en
de un alumno en un examen de una hora viene dado por:
.
Donde
es el tiempo en horas. Se pide:
1 ¿En qué momentos aumenta o disminuye el rendimiento?
2 ¿En qué momentos el rendimiento es nulo?
3 ¿Cuando se obtiene el mayor rendimiento y cuál es?
1 ¿En qué momentos aumenta o disminuye el rendimiento?
Derivamos

Igulamos la derivada a cero y hallamos las raíces de la ecuación

La raíz es 
Formamos intervalos con los ceros de la derivada primera

Tomamos un valor de cada intervalo, y hallamos el signo que tiene en la derivada primera:
Si el resultado es positivo, la función es creciente en ese intervalo.
Si el resultado es negativo, la función es decreciente en ese intervalo.

Así la función es creciente en
y decreciente en
.
2 ¿En qué momentos el rendimiento es nulo?
El rendimiento es nulo cuando
.
.
Las raíces son
y
.
así el rendimiento es nulo al inicio y al final de la prueba.
3 ¿Cuando se obtiene el mayor rendimiento y cuál es?
Calculamos la segunda derivada

La segunda derivada siempre es negativa, por lo que
y se tiene un máximo
Calculamos la segunda coordenada del máximo

Así el mayor rendimiento se obtiene a la mitad de la prueba y es de 
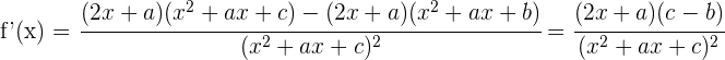
Obtener la ecuación de la tangente a la gráfica de
en su punto de inflexión.
1 Calculamos la derivada

2 Calculamos la segunda derivada

3 Igualamos la segunda derivada a cero para obtener el punto de inflexión

de donde obtenemos 
Calculamos la tercera derivada y evaluamos 



Así la función tiene un punto de inflexión en
.
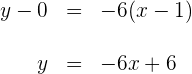
4 Calculamos la recta tangente en el punto de inflexión, para lo cual requerimos la pendiente

Aplicando la fórmula punto pendiente se obtiene

La recta tangente que pasa por el punto de inflexión es 
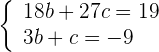
Determinar
y
para que la función
tenga un máximo para
, un mínimo para
y tome el valor
para
.
1 Calculamos la derivada

2 Como la función tiene un máximo en
y un mínimo en
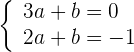
, entoces la derivada es cero en estos puntos. Sustituimos y obtenemos dos ecuaciones


Sustituimos el valor de
en la primera ecuación y se obtiene 
3 Como la función toma el valor
para 

de donde obtenemos
. Luego la función es

4 Calculamos la segunda y evaluamos los puntos críticos

, entonces tiene un máximo
, entonces tiene un mínimo
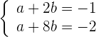
Determinar el valor de
y
para que la función
tenga un máximo en
y un mínimo en
.
¿Buscas un profesor matematicas en Barcelona?
1 Calculamos la derivada

2 Como la función tiene un máximo en
y un mínimo en
, entonces la derivada es cero en estos puntos. Sustituimos y obtenemos dos ecuaciones


3 Como
y
, se obtienen las ecuaciones


4 Resolvemos el sistema 
Obtenemos
y
. Luego la función es

5 Calculamos la segunda y evaluamos los puntos críticos

, entonces tiene un máximo
, entonces tiene un mínimo
Determinar el valor de
y
de modo que la curva
tenga un punto crítico en
y un punto de inflexión con tangente de ecuación
en
.
1 Calculamos la derivada

2 Como la función tiene un punto crítico en
, entonces la derivada es cero en este punto. Sustituimos y obtenemos la ecuación

3 Como
y
, se obtienen las ecuaciones


4 Calculamos la segunda derivada y evaluamos el punto de inflexión en ella

5 La derivada evaluada en cero coincide con la pendoente de la recta tangente en 

6 Resolvemos el sistema 
Obtenemos
y
. Luego la función es

La curva
corta al eje de abscisas en
y tiene un punto de inflexión en
. Hallar
y
.
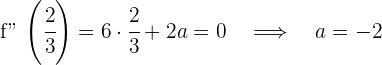
1 Calculamos la segunda derivada y evaluamos el punto de inflexión



2 Evaluamos la función en el punto de inflexión y se obtiene

3 Como
, se obtiene la ecuación

4 Resolvemos el sistema 
Obtenemos
y
. Luego la función es

Dada la función:

Calcula
y
, de modo que
tenga en
un extremo local y que la curva pase por el origen de coordenadas.
1 Calculamos la derivada

2 La derivada es cero en 

pero no se puede cumplir que
ya que la función sería
y no se cumple la condición de que la función pasa por el origen
3 Como
y
, se obtienen las ecuaciones


Luego la función es

Hallar
y
para qué la función:
tenga extremos en los puntos
y
. Para esos valores de
y
, ¿qué tipo de extremos tienen la función en
y en
?
1 Calculamos la derivada y evaluamos
y
, en estos puntos la derivada es cero ya que son puntos extremos



4 Resolvemos el sistema 
Obtenemos
y
. Luego la función es

5 Calculamos la segunda derivada y evaluamos
y 

, entonces se tiene un mínimo en 
, entonces se tiene un máximo en 
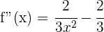
Determina las ecuaciones de la tangente y normal en su punto de inflexión a la curva:
.
1 Calculamos la derivada

2 Calculamos la segunda derivada

3 Igualamos la segunda derivada a cero para obtener el punto de inflexión

de donde obtenemos 
Calculamos la tercera derivada y evaluamos 



Así la función tiene un punto de inflexión en
.
4 Calculamos la recta tangente en el punto de inflexión, para lo cual requerimos la pendiente

Aplicando la fórmula punto pendiente se obtiene

La recta tangente que pasa por el punto de inflexión es 
Aplicando la fórmula punto pendiente para la pendiente
de la recta normal, se obtiene

La recta normal que pasa por el punto de inflexión es 
La cantidad
de manera acumulada en una máquina tragaperras durante un día es una ley del tipo:

donde la variable
representa el tiempo en horas (de 0 a 24). Responde a las siguientes preguntas:
1 ¿Se queda alguna vez vacía de dinero la máquina?
2 Si se realiza la "caja" a las 24 horas. ¿Arroja ganancias para los dueños de la máquina?
3 ¿A qué hora la recaudación es máxima y a qué hora es mínima?
4 ¿Cuándo entrega el mayor premio?
1 Entre 0 y 24 la función es distinta de cero, por lo cual la máquina siempre tiene monedas.
Hay un mínimo absoluto en
.
2 Si se realiza la "caja" a las 24 horas. ¿Arroja ganancias para los dueños de la máquina?
Ganancia: 
3 ¿A qué hora la recaudación es máxima y a qué hora es mínima?
Calculamos la derivada

Igualamos la derivada a cero

se obtiene
y 
4 Calculamos la segunda derivada y evaluamos
y 

es un máximo
es un mínimo
así, la recaudación es máxima a las 16 horas y es mínima a las 22 horas
5 ¿Cuándo entrega el mayor premio?
El mayor premio será igual al punto de inflexión


así, el mayor premio se entrega a las 19 horas
Sea
. Hallar
y
de manera que la gráfica de la función
tenga para
una inflexión, y cuya recta tangente en ese punto forme un ángulo de
con el eje
.
1 Calculamos la primera y segunda derivada


2 Como la función tiene un punto de inflexión en
, entonces la derivada es cero en este punto. Sustituimos y obtenemos

3 Como la recta tangente en
forma un ángulo de
y su pendiente es igual a la tangente de este ángulo, se tiene

Luego la función es

¿Necesitas un profesor matematicas Madrid?
Resumir con IA:

Apuntes es una plataforma dirigida al estudio y la práctica de las matemáticas a través de la teoría y ejercicios interactivos que ponemos a vuestra disposición. Esta información está disponible para todo aquel/aquella que quiera profundizar en el aprendizaje de esta ciencia. Será un placer ayudaros en caso de que tengáis dudas frente algún problema, sin embargo, no realizamos un ejercicio que nos presentéis de 0 sin que hayáis si quiera intentado resolverlo. Ánimo, todo esfuerzo tiene su recompensa.
Felicitaciones, muy interesantes los problemas y sobretodo las gráficas. ¿Pueden indicarme que programa utilizan?
Hola te agradecemos tu comentario, si te refieres a graficar te recomendamos geogebra, symbolat y otros mas.
Cual es un buen graficador de funciones con cuadricula en el fondo y ejes coordenados para graficar funciones.He visto uno elaborado por Mariluna Saldivar Pat titulado «¿Que es una funcion lineal? pero no se con que programa hizo el dibujo
Hola en internet esta geogebra y simbolab que son los que yo uso, creo que si preguntas en el buscador te recomiendan otros muy buenos, los que mencione antes trabajo muy bien con ellos y los recomiendo.
Me ayudarian hacer la funcion lineal con grafico
Y=2×+1
La primera derivada se anula en x = 3. Por lo tanto 3 es otro punto crítico de la función del ejemplo.
Hola gracias por la observación, podrías hacernos el favor de mostrarnos la función que se deriva y se encuentran los puntos críticos.
Hola con gusto lo haremos, pero podrías señalar en que ejercicio quieres que lo hagamos, para poder ayudarte.