Una función cuadrática es una función polinómica de segundo grado de la forma
donde los coeficientes
y
son números reales con 
La gráfica de una función cuadrática es una parábola que corresponde a una de las conocidas secciones cónicas. En este artículo continuamos con nuestra resolución de diversos ejercicios sobre funciones cuadráticas. Para ver la parte I, visite: Ejercicios de la función cuadrática I.
Representa gráficamente las siguientes funciones cuadráticas
1
2
3
4
Para representar gráficamente a una función cuadrática seguiremos los siguientes pasos:
- Encontramos el vértice
con la fórmula 
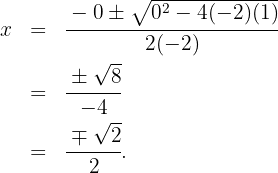
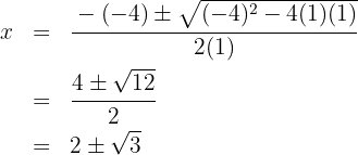
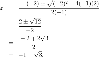
- Encontramos los puntos de corte con el eje
haciendo
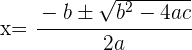
. Para esto, hacemos uso de la fórmula cuadrática general 
- Encontramos los puntos de corte con el eje
haciendo 
- Finalmente, con esta información, graficamos la parábola que nos describe la ecuación cuadrática.
1
Aquí
y
Entonces tenemos que:
- El vértice es

- Los puntos de corte con el eje
son
Así
Por lo tanto, los puntos de corte son: 
- Haciendo
tenemos que
. Por lo tanto, el único punto de corte con el eje
es 
- La gráfica de la función cuadrática por lo tanto es la siguiente parábola:

2
Aquí
y
Entonces tenemos que:
- El vértice es

- Los puntos de corte con el eje
son
Así
Por lo tanto, los puntos de corte son: 
- Haciendo
tenemos que
. Por lo tanto, el único punto de corte con el eje
es 
- La gráfica de la función cuadrática por lo tanto es la siguiente parábola:

3
Aquí
y
Entonces tenemos que:
- El vértice es

- Los puntos de corte con el eje
son
Así
Por lo tanto, los puntos de corte son: 
- Haciendo
tenemos que
. Por lo tanto, el único punto de corte con el eje
es 
- La gráfica de la función cuadrática por lo tanto es la siguiente parábola:

4
Note que,
Así, tenemos que
y
Entonces tenemos que:
- El vértice es

- Los puntos de corte con el eje
son
Así
Por lo tanto, los puntos de corte son: 
- Haciendo
tenemos que
. Por lo tanto, el único punto de corte con el eje
es 
- La gráfica de la función cuadrática por lo tanto es la siguiente parábola:

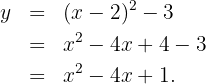
Hallar el vértice y la ecuación del eje de simetría de las siguientes parábolas
1
2
3
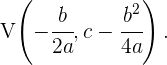
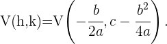
- El vértice
de la parábola
está dado por 
- La ecuación del eje de simetría es
.
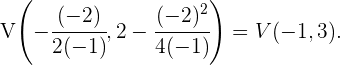
1
Observe que
Por lo tanto,
y
Entonces tenemos que:
- El vértice es

- La ecuación del eje de simetría es

2
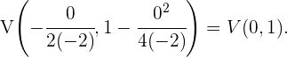
Aquí
y
Entonces tenemos que:
- El vértice es

- La ecuación del eje de simetría es

3
Observe que
Por lo tanto,
y
Entonces tenemos que:
- El vértice es

- La ecuación del eje de simetría es
.
Indica, sin dibujarlas, en cuántos puntos cortan al eje de abscisas las siguientes parábolas
1
2
3
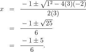
Si
es una ecuación cuadrática, entonces su discriminante está dado por
Luego,
- Si
entonces la parábola corta el eje de abscisas dos veces. - Si
entonces la parábola corta el eje de abscisas una vez. - Si
Aquí,
y
. Por lo tanto,
Así, se tiene un solo punto de corte.2

Aquí
y
Por lo tanto,
Así, se tienen dos puntos de corte.3

Aquí,
y 
Por lo tanto,
$$b^2-4ac=\left(\frac{3}{4}\right)^2-4(7)\left(\frac{1}{4}\right)=\frac{9}{16}-7=-\frac{103}{16}<0. $$ [/latex]Así, no se tiene puntos de corte.
Resumir con IA:

Apuntes es una plataforma dirigida al estudio y la práctica de las matemáticas a través de la teoría y ejercicios interactivos que ponemos a vuestra disposición. Esta información está disponible para todo aquel/aquella que quiera profundizar en el aprendizaje de esta ciencia. Será un placer ayudaros en caso de que tengáis dudas frente algún problema, sin embargo, no realizamos un ejercicio que nos presentéis de 0 sin que hayáis si quiera intentado resolverlo. Ánimo, todo esfuerzo tiene su recompensa.
Felicitaciones, muy interesantes los problemas y sobretodo las gráficas. ¿Pueden indicarme que programa utilizan?
Hola te agradecemos tu comentario, si te refieres a graficar te recomendamos geogebra, symbolat y otros mas.
Cual es un buen graficador de funciones con cuadricula en el fondo y ejes coordenados para graficar funciones.He visto uno elaborado por Mariluna Saldivar Pat titulado «¿Que es una funcion lineal? pero no se con que programa hizo el dibujo
Hola en internet esta geogebra y simbolab que son los que yo uso, creo que si preguntas en el buscador te recomiendan otros muy buenos, los que mencione antes trabajo muy bien con ellos y los recomiendo.
Me ayudarian hacer la funcion lineal con grafico
Y=2×+1
La primera derivada se anula en x = 3. Por lo tanto 3 es otro punto crítico de la función del ejemplo.
Hola gracias por la observación, podrías hacernos el favor de mostrarnos la función que se deriva y se encuentran los puntos críticos.
Hola con gusto lo haremos, pero podrías señalar en que ejercicio quieres que lo hagamos, para poder ayudarte.