Representa las funciones en valor absoluto y obtén su dominio

1 Se iguala a cero la función, sin el valor absoluto, y se calculan sus raíces.

2 Se forman intervalos con las raíces y se evalúa el signo de cada intervalo

3 Definimos la función a trozos, teniendo en cuenta que en los intervalos donde la
es negativa se cambia el signo de la función

4 Representamos la función resultante




1 Igualamos a cero la función, sin el valor absoluto, y se calculan sus raíces

2 Se forman intervalos con la raíz y se evalúa el signo de cada intervalo

3 Definimos la función a trozos, teniendo en cuenta que en los intervalos donde la x es negativa se cambia el signo de la función

4 Representamos la función




1 Igualamos a cero la función, sin el valor absoluto, y se calculan sus raíces

2 Se forman intervalos con la raíz y se evalúa el signo de cada intervalo

3 Definimos la función a trozos, teniendo en cuenta que en los intervalos donde la x es negativa se cambia el signo de la función

4 Representamos la función




1 Igualamos a cero la función, sin el valor absoluto, y se calculan sus raíces

2 Se forman intervalos con la raíz y se evalúa el signo de cada intervalo

3 Definimos la función a trozos, teniendo en cuenta que en los intervalos donde la x es negativa se cambia el signo de la función

4 Representamos la función




1 Igualamos a cero la función, sin el valor absoluto, y se calculan sus raíces

2 Se forman intervalos con la raíz y se evalúa el signo de cada intervalo

3 Definimos la función a trozos, teniendo en cuenta que en los intervalos donde la x es negativa se cambia el signo de la función

4 Representamos la función




1 Igualamos a cero la función, sin el valor absoluto, y se calculan sus raíces


2 Se forman intervalos con la raíces y se evalúa el signo de cada intervalo

3 Definimos la función a trozos, teniendo en cuenta que en los intervalos donde la x es negativa se cambia el signo de la función

4 Representamos la función




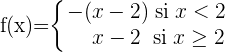
1 Se iguala a cero la función, sin el valor absoluto, y se calculan sus raíces.


2 Se forman intervalos con las raíces y se evalúa el signo de cada intervalo

3 Definimos la función a trozos, teniendo en cuenta que en los intervalos donde la x es negativa se cambia el signo de la función

4 Representamos la función resultante




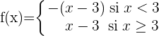
1 Se iguala a cero la función, sin el valor absoluto, y se calculan sus raíces



2 Se forman intervalos con las raíces y se evalúa el signo de cada intervalo

3 Definimos la función a trozos, teniendo en cuenta que en los intervalos donde la x es negativa se cambia el signo de la función

4 Representamos la función resultante



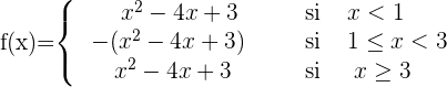
1 Se iguala a cero la parte de la función afectada por el valor absoluto y se calculan sus raíces

2 Se forman intervalos con las raíces y se evalúa el signo de cada intervalo

3 Definimos la función a trozos, teniendo en cuenta que en los intervalos donde la
es negativa se cambia el signo de la función

Que es lo mismo que:

4 Representamos la función resultante




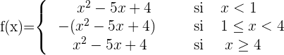
1 Se iguala a cero la parte de la función afectada por el valor absoluto y se calculan sus raíces

2 Se forman intervalos con las raíces y se evalúa el signo de cada intervalo

3 Definimos la función a trozos, teniendo en cuenta que en los intervalos donde la
es negativa se cambia el signo de la función

Que es lo mismo que

4 Representamos la función resultante



Resumir con IA:

Apuntes es una plataforma dirigida al estudio y la práctica de las matemáticas a través de la teoría y ejercicios interactivos que ponemos a vuestra disposición. Esta información está disponible para todo aquel/aquella que quiera profundizar en el aprendizaje de esta ciencia. Será un placer ayudaros en caso de que tengáis dudas frente algún problema, sin embargo, no realizamos un ejercicio que nos presentéis de 0 sin que hayáis si quiera intentado resolverlo. Ánimo, todo esfuerzo tiene su recompensa.
Felicitaciones, muy interesantes los problemas y sobretodo las gráficas. ¿Pueden indicarme que programa utilizan?
Hola te agradecemos tu comentario, si te refieres a graficar te recomendamos geogebra, symbolat y otros mas.
Cual es un buen graficador de funciones con cuadricula en el fondo y ejes coordenados para graficar funciones.He visto uno elaborado por Mariluna Saldivar Pat titulado «¿Que es una funcion lineal? pero no se con que programa hizo el dibujo
Hola en internet esta geogebra y simbolab que son los que yo uso, creo que si preguntas en el buscador te recomiendan otros muy buenos, los que mencione antes trabajo muy bien con ellos y los recomiendo.
Me ayudarian hacer la funcion lineal con grafico
Y=2×+1
Hola agradecemos tu observación, podrías mencionar que ejercicio es el que tiene el error para poder rectificarlo nos seria de mucha ayuda.
hola soy profesor de scundaria y es =-13
Hola con gusto lo haremos, pero podrías señalar en que ejercicio quieres que lo hagamos, para poder ayudarte.